



“我家住在黄土高坡。”一首歌中这样唱道。歌词中的黄土高坡其实就是我们地理课上学到的黄土高原。说到这里就要说说我们甘肃最有名的兰州了。兰州位于黄土高原。这里沟壑纵横,黄沙满天,本应寸草不生,却又因为黄河穿城而过,孕育了一代又一代的兰州人。
兰州人深知黄河恩情,视她为自己的母亲。为感恩母亲河的孕育,兰州人民为母亲河塑造了一座雕像,她就坐落在了兰州市黄河南岸。
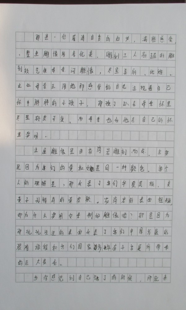
那是一位眉清目秀的妇女,满脸慈爱,整座雕像线条优美,雕刻工人高超的雕刻技艺使母亲河雕像,尽显美丽,优雅。这位母亲正用慈爱的目光注视着自己怀中的胖胖的小孩子,那孩子趴在母亲的怀里尽显顽皮可爱。而母亲也任他在自己的怀里耍闹。
这座雕像是花岗岩雕刻而成。主要是因为我们的黄河和他是同一种颜色。我个人的理解是,那代表了我们华夏民族,炎黄子孙特有的黄皮肤。花岗岩的表面粗糙。却为什么要用他来制作雕像呢?那是因为那坑坑洼洼的表面代表了我们中国发展的艰难旅程和我们国家多年奋斗发展所带来的巨大的变化。
当你感觉到自己饿了的时候。那就来一碗我们兰州特有的极品美食牛肉面。牛肉面在整个中国,甚至全世界都是赫赫有名的,一清二白三红四绿五黄。全国各地甚至国外,都有开牛肉面馆的。在这里我想告诉外地的朋友一个秘密,“兰州拉面”基本都不是兰州正宗的牛肉面,兰州牛肉面正确的叫法就是“牛肉面”。所以想要品尝到正宗的牛肉面,就得来兰州。“师傅,来个二细。”这样的话,一直持续一天,直到关门。牛肉面是分大细,二细,三细,细的,韭叶,这几种类型的,可以根据个人的喜好随意选择,而我个人比较喜欢吃二细。粗一点的面条加上牛肉汤,面条有嚼劲,面汤又鲜美,让人欲罢不能。
当然,兰州可不止这些个好东西,还有更多的美景和品味更多的美食,想要了解关更多关于兰州的事情,就得你自己大驾光临来感受一下吧!
417 |
0 |
0
总数:0 当前在第1页
